Skip to main content

Bioenergetic Assay Journey for Therapeutic Relevance of Cellular Metabolism

Your interactive guide
to choosing the right assays

Select the assays that will probe the correct pathways and deliver deep insights

Agilent Seahorse XF assay kits work with your Seahorse XF analyzer to elucidate the role of energy metabolism in cellular processes. These insights can be used to identify potential druggable gene and protein targets and to validate potential metabolic modulators in early drug discovery research.

Here, you’ll find a guided assay journey strategy that starts with streamlined cell metabolism assays, then digs deeper with pathway-specific assays.

Screen for metabolic phenotype and identify the pathway involved

The XF Real-Time ATP Rate Assay kit provides a streamlined protocol and an ideal entry point for cell metabolism analysis.

In addition to whole-cell metabolic changes, you will get a dynamic picture of mitochondrial and glycolytic bioenergetic flux. Simultaneous assessment of both pathways using a common unit of measurement enables quantitative analysis of metabolic switching.

Agilent Seahorse XF Real-Time ATP Rate Assay Kit

Seahorse XF Real-Time ATP Rate Assay kit

This quantitative method simultaneously measures the production rates of adenosine triphosphate (ATP) from mitochondrial respiration and glycolysis in live cells.

Screen and assess metabolic effects

Visualize the effects of drug candidates on live-cell metabolic function (quiescent to energetic) as well as metabolic shift between pathways (aerobic versus glycolytic).

ATP production rate is a sensitive functional measurement of the two major cell metabolism mechanisms: glycolysis and mitochondrial respiration.

Pathway-specific ATP production rates deliver simplified outputs and actionable results compared to extracellular acidification rate (driven by both glycolysis and mitochondrial respiration).

Quantification of pathway-specific contributions in pmol ATP/min allows for ratiometric analysis and fast identification of metabolic switching.

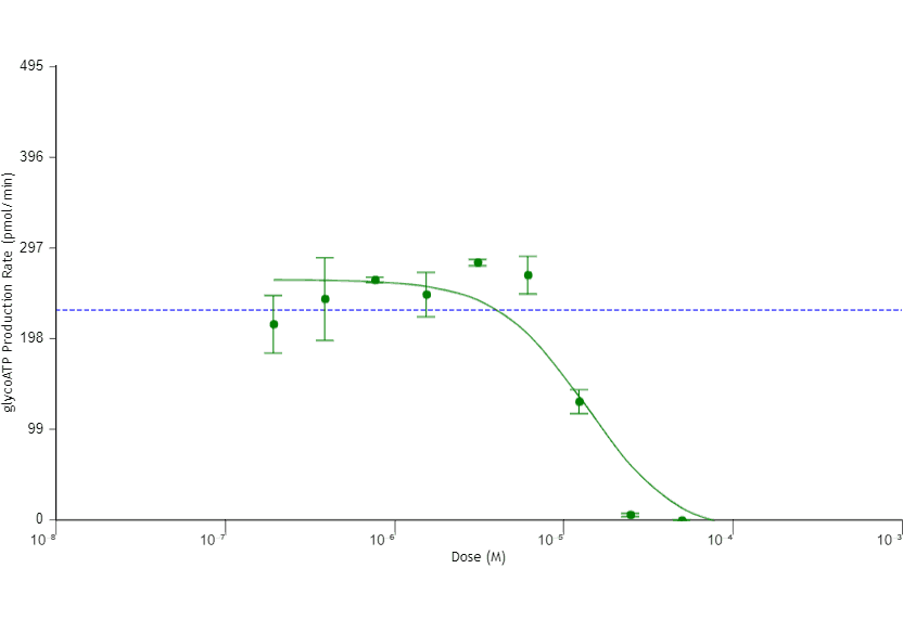
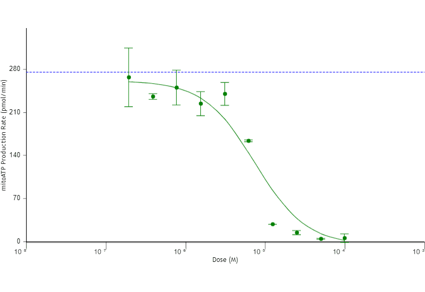
Pathway-specific heat map and dose response views

Mitochondrial respiration

Glycolysis

Measure dose-dependent mitochondrial effects.

Rapidly identify mitochondrial changes.

Quickly identify glycolytic changes.

Evaluate dose-dependent glycolytic effects.

With your ATP rate assay results, you can now probe deeper using
pathway-specific assays.

Functional analysis of glycolysis

If a glycolytic pathway is determined, you’ll need to measure the effects of metabolic modulators on glycolytic rates, and detect transient and rapid metabolic switches.

Agilent Seahorse XF Glycolytic Rate Assay kit

Seahorse XF Glycolytic Rate Assay kit

Accurately measure glycolysis in live cells by quantifying proton efflux rate (PER) specific to glycolysis.

Live-cell kinetic glycolytic rate assay profile

These data represent uncorrected ECAR (driven by both glycolysis and mitochondrial respiration) before glycolytic PER quantification.

Glycolytic protein efflux rate is a quantitative measure of cellular glycolysis.

Multiparametric analysis

Quantitative basal glycoPER reflects normal (physiological) glycolysis.

Cells can upregulate glycolysis when mitochondrial respiration is inhibited. Compensatory glycolysis reflects cellular ability to manage energy demands under stress.

Functional analysis of mitochondrial respiration

Once you determine that aerobic respiration is involved, you’ll want to gain a comprehensive understanding of mitochondrial function under basal and stressed conditions.

Common drug discovery target parameters, like spare respiratory capacity and maximal respiration, are calculated automatically.

Agilent Seahorse XF Cell Mito Stress Test Assay kit

Seahorse XF Cell Mito Stress Test Assay kit

This assay is a well-recognized method for evaluating mitochondrial function by measuring multiple key parameters.

Live-cell kinetic mito stress test profile

This kinetic graph shows the real-time oxygen consumption rate through a sequence of inhibitor and uncoupler injections.

Major parameters that characterize mitochondrial function are calculated automatically.

Multiparametric analysis

Targeted assessment of mitochondrial mechanisms

Substrate utilization and dependency

Understanding fuel utilization and dependency allows you to characterize and modulate specific cellular functions and/or phenotypes.

Agilent Seahorse XF Substrate Oxidation Stress Test assay kits

Seahorse XF Substrate Oxidation Stress Test Assay kits

With these optimized kits, you can dive deeper to study the impact of three primary substrates on mitochondrial and cellular function.

Using pathway-specific inhibitors, XF Substrate Oxidation Stress Test assays demonstrate fuel-specific dependencies.

Agilent Seahorse XF Palmitate Oxidation Stress Test kit

Seahorse XF Palmitate Oxidation Stress Test kit

Investigate how interventions specifically affect palmitate oxidation when starved of other fuels.

By forcing cells to use the long-chain fatty acid palmitate, pathway-specific effects can be captured.

Mitochondrial complexes

Selectively targeting the cellular plasma membrane while leaving the mitochondrial membrane intact can help you characterize key components of mitochondrial function.

Agilent Seahorse XF Plasma Membrane Permeabilizer

Seahorse XF Plasma Membrane Permeabilizer

Our proprietary reagent permeabilizes intact cells in culture, so you can perform mitochondria-type assays without isolating mitochondria.

Permeabilize the plasma membrane while leaving the mitochondria intact. This process allows you to determine which mitochondrial complexes are affected.

Interested in additional assays for cell therapy development or drug safety assessment?

Application-specific tools for cell therapy development and preclinical safety studies

To make informed decisions, you need to assess key attributes pertaining to the safety and efficacy of potential treatments.

T cell metabolic profiling

When developing therapies, you need to determine whether your T cells can support a long-term immune response. You also need to know if your cells are metabolically poised to survive in the tumor microenvironment.

Agilent Seahorse XF T Cell Metabolic Profiling kit

Seahorse XF T Cell Metabolic Profiling kit

Generate robust bioenergetic parameters linked to critical attributes for antitumor potency: T cell persistence and T cell metabolic fitness.

Seahorse XF T Cell Metabolic Profiling Assays provide a comprehensive view of cellular bioenergetics, including respiratory capacity and metabolic profile (glycolytic vs respiration rates).

Mitochondrial toxicity

As many as 25% of drug failures can be attributed to safety—and mitochondrial disfunction is the leading cellular mechanism. That’s why it’s critical to identify mitochondrial toxicity during early drug discovery.

Agilent Seahorse XF Mito Tox Assay kit

Seahorse XF Mito Tox Assay kit

Identify drug-induced mitochondrial toxicity through functional measurements of mitochondrial oxygen consumption rates.

The XF Mito Tox Assay provides easy identification of mitochondrial toxicants and distinguishes between modes of action (inhibitors vs uncouplers).

Deepen your investigation into the role of energy metabolism in cellular processes

Agilent Seahorse XF assay kits

Assays

Now that you’ve learned about Seahorse XF assays, visit our product pages for a more in-depth look, and to purchase cell analysis assays and supplies.

Shop now

Agilent Seahorse XF Pro analyzer

Agilent Seahorse XF Pro and supplies

Developed for pharma, the Seahorse XF Pro analyzer features advanced experimental design and analysis tools, so you can optimize your workflow from start to finish.

Look closer
Scientists working with an Agilent Seahorse XF Pro

Discover how XF Pro technology can advance your drug discovery studies

Detect rapid, real-time changes in cellular bioenergetics with a platform optimized for pharma-oriented workflow solutions, whether your drug discovery strategy is small molecule, biologic, or cell therapy.

Contact us

Basal respiration is the starting oxygen consumption rate.

ATP production-coupled respiration is the portion of basal respiration used to drive ATP production.

Proton leak can be a sign of mitochondrial damage. It can also be used as a mechanism to regulate mitochondrial ATP production.

Maximal respiration reflects full mitochondrial capability.

Spare respiratory capacity is a metric used to evaluate the cells’ ability to meet an energetic challenge.