In the first article in the series showcasing the capabilities of Agilent Triple Quadrupole ICP-MS instruments in semiconductor manufacturing, we shared performance data for aqueous process chemicals including ultrapure water, hydrogen peroxide, and mineral acids. In this article, we turn our focus to the multi-element determination of dissolved and particulate contaminants in organic chemicals and reagents using the Agilent 8900 Semiconductor configuration ICP-QQQ or its predecessor, the Agilent 8800 ICP-QQQ.
Multi-element analysis of organic process chemicals
Organic reagents are used during the many processing stages of IC manufacturing, as indicated by the following examples:
- Cleaning: isopropyl alcohol (IPA), N-methyl pyrrolidone (NMP), methanol, butyl acetate (BuAc)
- Developing: propylene glycol monomethyl ether (PGME), propylene glycol methyl ether acetate (PGMEA), ethyl lactate, NMP, and tetramethyl ammonium hydroxide (TMAH)
- Etching: dimethyl sulfoxide (DMSO) and monoethanol amine (MEA)
Handling organic solvents
While some organic chemicals are soluble in water, it is often preferable to run the samples undiluted, both to minimize the risk of contamination, and to achieve the lowest possible detection limits. ICP-MS is suitable for the direct analysis of both water-soluble and non-water-soluble organic samples. Non-water-soluble organics may be run direct or diluted in a suitable solvent such as xylene or toluene. Dilution allows external calibration standards to be used. However, due to the variability of nebulization with different sample viscosities, the Method of Standard Addition (MSA) is often used for calibration in the semiconductor industry.
The analysis of organic samples requires some specific ICP-MS hardware and operating conditions, particularly for the sample introduction and plasma settings. Since the 8900 #200 ICP-QQQ is designed for semiconductor applications, it comprises a solvent-resistant sample introduction system, which includes:
- A PFA MicroFlow nebulizer (flow rate: 200 mL/min)
- Quartz Scott double-pass spray chamber with Peltier cooling from –5 to +20 °C
- Quartz torch (including Shield Torch System) with 2.5 mm id injector
- Platinum-tipped interface cones
- A high-transmission s-lens
The 8900 also includes a fifth Mass Flow Controller (MFC), which is ideal for adding oxygen to the carrier gas to prevent carbon deposition on the sampling cone. Additional sample introduction options are available based on the properties of the sample, for example for the most volatile solvents, the following torch is recommended:
- An optional “organics” quartz torch with 1.5 mm id injector (a torch with a 1.0 mm id injector is also available).
Dissolved and particulate contaminant analysis
Agilent ICP-MS and ICP-QQQ systems provide fast, sensitive nanoparticle (NP) analysis as well as dissolved element quantification, giving a total analysis solution for semiconductor labs. From Agilent ICP-MS MassHunter software revision 5.2 onwards, analysts can set up single particle (sp)ICP-MS methods to monitor a virtually unlimited number of analytes in NPs in each sample, as shown in Figure 1. Different NP elements are measured sequentially, each under optimum conditions.
The following summaries highlight the breadth of applications relating to high purity organic reagents and the emerging need for multi-elemental NP analysis of the reagents. Details of samples, reagents, instrument operating settings, and method conditions can be accessed via the links.
Analysis of IPA using an automated standard addition-ICP-QQQ method
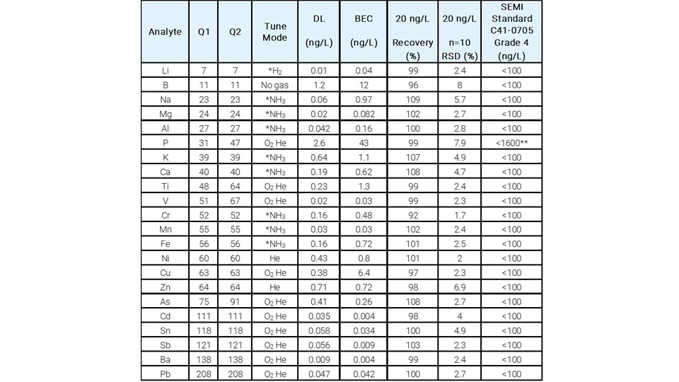
IPA is an important organic solvent used in semiconductor manufacturing to remove organic and metallic residues and impurities from the surface of silicon wafers. In this study, trace element impurities in IPA were quantified by online standard addition using an Automated Standard Addition System (ASAS from IAS, Tokyo, Japan) and the 8900 ICP-QQQ. The method allows accurate and reliable quantification of ultratrace level impurities in IPA without requiring a highly skilled analyst.
High-purity IPA samples were introduced into the ICP-QQQ undiluted to minimize the risk of contamination and to achieve the lowest possible detection limits (DLs). All calibration (and spike) solutions required for the analysis were automatically prepared and added online by the ASAS. Spike concentrations of 0, 5, 10, 20, and 50 ppt were added to the IPA sample. Several reaction cell gases (He, H2, O2, and NH3) were used as part of a multitune method for the 47 analytes being measured. Data for each of the modes was automatically combined into a single report for each sample.
DLs and Background Equivalent Concentrations (BECs) for 47 elements in undiluted IPA are shown in Table 1a and b. The DLs were calculated from 3 x the standard deviation of 10 replicate measurements of the blank (unspiked) IPA sample. The DLs and BECs for all 22 SEMI required elements (shown in Table 1a) were all well below the grade 4 requirements of 100 ppt; many were below 0.1 ppt. These results illustrate how the 8900 ICP-QQQ provides performance that ensures compliance with higher chemical purities that will be required for semiconductor manufacturing in the future.


The BEC for Cu reported using the normal, preferred isotope of Cu-63 was unexpectedly high, at 6.4 ppt. This result was compared to the BEC measured using the secondary isotope, 65Cu, and the two measured concentrations agreed. This suggests the high BEC observed using 63Cu was due to trace Cu contamination in the IPA sample rather than any interference on 63Cu.
The excellent spike recovery and repeatability results for all elements at the 20 ppt level also demonstrate the suitability of the automated ASAS method for the routine analysis of semiconductor organic process chemicals.
An even lower BEC of 7.7 ppt was achieved for P using the 8900 ICP-QQQ operating in MS/MS mode with H2 cell gas, as shown in Figure 2 and originally reported in the Agilent ICP-MS Journal, issue 78.
Ultratrace analysis of dissolved and particulate contamination in semiconductor grade NMP
Electronic grade NMP is used extensively in the semiconductor industry for wafer cleaning and photoresist stripping due to its strong solubility properties. In this comprehensive study, the 8900 ICP-QQQ was used to measure dissolved contaminants and NPs in EL (for Electronics industry) and SP (supreme pure) grade NMP samples provided by FUJIFILM Wako Pure Chemical Corporation, Japan. Concentrations of 54 dissolved elements, including all 22 elements listed in SEMI C33-0213, were quantified using MSA.
Semiconductor manufacturers and chemical suppliers must also control particulate contamination in reagents such as NMP, especially metallic particles, including NPs, which can cause circuit defects and device failure. NPs can be introduced from raw materials and from processing equipment.
Following an initial screening acquisition to identify potential particulate contaminants, a multielement NP method was set up to measure particles containing 14 elements in the two grades of NMP using the 8900 in spICP-MS mode. Figure 3 shows the size distribution of the elements detected in particles measured in the two samples. The much lower particle number and absence of larger particles in the SP grade sample confirm the much higher purity of this higher-quality reagent.
Overcoming spectral interferences for the trace level analysis of sulfur, phosphorus, silicon, and chlorine in NMP
ICP-QQQ is often used in preference to single-quad systems like the Agilent 7900s ICP-MS for the most challenging applications, such as the measurement of non-metallic impurities, sulfur, phosphorus, silicon, and chlorine, in NMP.
This study describes some of the method development for the measurement of these challenging impurities using the 8800 ICP-QQQ. The low ionization efficiency of these elements greatly reduces analyte signal, while the elevated background signal (measured as BEC without interference correction) due to N-, O-, and C-based polyatomic ions formed from the NMP matrix makes low-level analysis even more difficult (see Table 2). The ICP-QQQ BECs and DLs shown in Table 2 were BECs achieved using a mass-shift method. Oxygen cell gas was used for all analytes except Cl. Detection limits for all analytes except Cl were in the mid- to low-ppt range. The limiting factor for Cl is its very low degree of ionization; nevertheless, low ppb detection limits were obtained. For routine analysis, an automated method can be set to measure all analytes with a single visit to the sample vial.

Details of how to determine silicon, phosphorus, and sulfur in 20% ultrapure methanol by ICP-QQQ is discussed in another paper. The work includes an informative overview of the optimized MS/MS settings used to measure each of the three elements.
Characterization of Ag, Fe3O4, Al2O3, Au, and SiO2 NPs in TMAH in a single analytical run
TMAH is widely used as a basic solvent in the development of photoresist in the photolithography processing of ICs. In this study, multiple element NPs including Ag, Fe3O4, Al2O3, Au, and SiO2 were measured in semiconductor grade TMAH using the 8900 in spICP-QQQ mode.
Blank TMAH and TMAH solution spiked with NPs were measured using the multi-element spICP-MS method. Figure 4 summarizes the size data for multiple element NPs in 1% TMAH. The blue histograms show NPs present in the unspiked (original) TMAH solution. The green histograms show NPs present in the spiked TMAH solution. The results show that all five NPs were detected separately, even in the mixed NP TMAH solution. Using the multiple element spICP-MS method, small particles (e.g., 30 nm Fe3O4) can be clearly measured with good accuracy even in the presence of larger particles (e.g., 200 nm SiO2).
Determination of Fe3O4 NPs in low-particle concentration solutions of organic solvents
Metallic NPs, especially Fe-based NPs, arising from reagents used during the fabrication of integrated circuits (ICs) can lead to the occurrence of ‘cone defects’ on the surface of wafers, which cause shorting of electrical signals. In this study, Agilent application engineers and industry-based scientists investigated the feasibility of measuring 25 or 30 nm Fe3O4 NPs in three commonly used organic solvents, IPA, PGMEA, and BuAc, using the Agilent 8900 ICP-QQQ in spICP-MS mode. As shown in Figure 5, signals generated by 30 nm Fe NPs spiked at 5 ppt in each solvent were clearly separated from the background signals. Also, the mean measured particle size was around 30 nm in all spiked solvents, which is consistent with the nominal Fe NP diameter (30 nm). The study also showed that 25 nm Fe NPs can be determined in IPA solutions containing very low concentrations of Fe NPs (ranging from 0.1 to 2 ppt) using the 8900 ICP-QQQ operating in spICP-MS mode.
In a slightly later study, analysts showed that the 8900 ICP-QQQ in spICP-MS mode can successfully determine 15 nm Fe2O3 NPs (Sigma Aldrich) spiked into IPA, PGMEA, and propylene glycol monomethyl ether (PGME).
Focus on wafer analysis, gases, and advanced semiconductor applications
With its low background, high sensitivity, and effective control of spectral interferences, the Agilent 8900 ICP-QQQ provides the highest performance for analyzing both the dissolved and particulate content of organic reagents. In the next issue of The ICP-MS Journal, we will discuss the transformative role of ICP-QQQ instrumentation in wafer, gas, and other advanced analyses.
Read more here:
- Applications compendium: Measuring Inorganic Impurities in Semiconductor Manufacturing
- Elemental and Particle Analysis of N-Methyl-2-Pyrrolidone (NMP) by ICP-MS/MS
- Multielement Nanoparticle Analysis of Semiconductor Process Chemicals Using spICP-QQQ
DE-007672