Skip to main content

Access Agilent eNewsletter February 2015

More accurate test results and less rework with Agilent J&W GC columns

By Gary Lee
Agilent Product Marketing Manager, Agilent J&W GC columns

Inferior GC columns may cause bleed and inconsistent peakshape, which can result in baseline noise and interference. These factors can lead to questionable test results and rework. Any GC column that hinders your lab’s productivity by giving you results you cannot trust is not a good value – regardless of the price. In this article, our last in a series on boosting lab productivity, we will focus on the exceptional low bleed and inertness of Agilent J&W Ultra Inert GC columns. Direct comparison examples of Agilent J&W Ultra Inert GC column results for active compounds and isomer quantitation are examined.

Higher recovery of active compounds

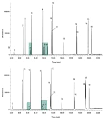
You can see in Figure 1 that the Agilent J&W HP-5ms Ultra Inert GC column provides excellent peak shape for acids and bases, while the Restek Rxi-5ms column showed poor peak shape for some active compounds.

Enlarge

Figure 1. The Agilent J&W HP-5ms, 20 m x 0.18 mm, 0.18 µm Ultra Inert GC column (top) delivers excellent peak shape in the analysis of acids and bases compared to a Restek Rxi-5ms of the same dimensions (bottom).

Enlarge

Figure 2. The Agilent J&W DB-EUPAH, 20 m x 0.18 mm, 0.14 µm GC column (above) resolved 15+1 priority PAHs with good resolution and without bleed compared to a Restek Rxi-17, 20 m x 0.18 mm, 0.18 µm column (below).

Agilent J&W GC columns offer accurate isomer quantitation

Figure 2 shows a performance comparison for 15+1 EU-regulated priority PAHs. In the top chromatogram, all 15+1 EU regulated priority PAHs were well resolved with the Agilent J&W DB-EUPAH GC column. The Restek Rxi-17 column showed significantly higher bleed, even at 320 °C, making trace-level detection difficult for the four late-eluting dibenzopyrene isomers.

Versatility, accuracy, inertness, and speed

Through this series of articles we’ve shown how you can avoid rework by using Agilent J&W GC columns. Our examples have demonstrated how to get stronger signals, sharper peaks, better resolution, and less bleed, all increasing confidence in your lab results. Every Agilent J&W Ultra Inert GC column pushes industry standards for consistent column inertness and exceptionally low column bleed – delivering better mass spectral clarity and faster, more accurate peak identification to your lab. See for yourself how Agilent J&W GC columns lead the way for versatility and inertness, and keep ahead of the pack.

Agilent provides the widest selection of GC systems, support, and supplies in the industry. Whether your needs require flexible, reliable hardware and software for research – simple, robust systems for production environments – or rugged portable solutions for real-time measurements in the field, Agilent has the right GC solution for your lab.

Figure 1.

Peak ID

  1. n-Nitrosodimethylamine
  2. Aniline
  3. 1,4-Dichlorobenzene-d4
  4. Benzoic acid
  5. Naphthaline-d8
  6. Acenaphthene-d10
  1. 2,4-Dinitrophenol
  2. 4-Nitrophenol
  3. 2-Me-4,6-dinitrophenol
  4. 4-Aminobiphenyl
  5. Pentachlorophenol
  6. Phenanthrene-d10
  1. Benzidine
  2. Chrysene-d12
  3. 3.3’-Dichlorobenzidine
  4. Benzo[b]fluoranthene
  5. Benzo[k]fluoranthene
  6. Perylene-d12

The Agilent J&W HP-5ms, 20 m x 0.18 mm, 0.18 µm Ultra Inert GC column (top) delivers excellent peak shape in the analysis of acids and bases compared to a Restek Rxi-5ms of the same dimensions (bottom).

Figure 2.

Peak ID

  1. Benzo[o]fluorene
  2. Benz[a]anthracene
  3. Cyclopenta[c,d]pyrene
  4. Chrysene
  5. 5-Methylchrysene
  6. Benzo[b]fluoranthene
  1. Benzo[k]fluoranthene
  2. Benzo[j]fluoranthene
  3. Benz[a]pyrene
  4. Indeno[1,2,3-cd]pyrene
  5. Dibenzo[a,h]anthracene
  6. Benzo[g,h]perylene
  1. Dibenzo[a,l]pyrene
  2. Dibenzo[a,e]pyrene
  3. Dibenzo[a,j]pyrene
  4. Dibenzo[a,h]pyrene

The Agilent J&W DB-EUPAH, 20 m x 0.18 mm, 0.14 µm GC column (above) resolved 15+1 priority PAHs with good resolution and without bleed compared to a Restek Rxi-17, 20 m x 0.18 mm, 0.18 µm column (below).