Skip to main content

Access Agilent eNewsletter, November 2014

6460 Triple Quadrupole LC/MS

Easily analyze toxins in water to EPA Method 545 with Agilent LC/MS solutions

By Ralph Hindle
Vogon Laboratory Services, Canada

and Craig Marvin
Agilent Global Environmental Industry Marketing Manager

Contaminants in water are a threat to human health – one that necessitates fast, dependable analysis. Agilent has the testing solutions you need to ensure that the integrity of our water supplies comply with Environmental Protection Agency (EPA) guidelines, and meet your busy lab’s needs for accuracy and precision.

The United States Safe Drinking Water Act requires the EPA to publish a list of unregulated contaminants that could occur in public water systems. The third version of the Contaminant Candidate List (CCL 3) includes three cyanotoxins that can be present in drinking water: Microcystin-LR, Anatoxin-a (ANA), and Cylindrospermopsin (CYN). The EPA collects data on these cyanotoxins, and EPA Method 545 was developed to measure ANA and CYN levels in drinking water for that purpose.

Enlarge

Figure 1. MRM chromatogram of anatoxin-a (ANA) and cylindrospermopsin, as well as the two internal standards, on an Agilent LC/MS/MS.

Enlarge

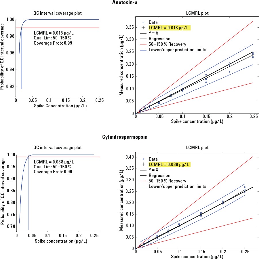
Figure 2. Lowest concentration minimum reporting levels (LCMRL) for ANA and CYN (0.018 and 0.038 µg/mL, respectively)

Toxins in water supplies can be deadly

Cyanotoxins are produced by cyanobacteria (blue-green bacteria), which can form widespread blooms in lakes and oceans. These toxins sometimes reach poisonous levels that are high enough to kill animals and humans. Two of the cyanotoxins produced by blue-green bacteria are CYN, which can cause damage to the human liver and kidneys, and the neurotoxin ANA, which can produce very rapid effects in humans, including loss of coordination, twitching, convulsions, and death from respiratory paralysis.

Recent events in Toledo, Ohio (US) highlighted the seriousness of microcystin LR in water and the importance of testing for these contaminants. Residents of the city were advised not to drink tap water because of the presence of the toxins in feed water from Lake Erie. Over 500,000 people were affected and a state of emergency was declared.

Agilent LC/MS solutions offer effective cyanotoxin analysis results

LC/MS/MS is an effective technique for analyzing cyanotoxins, and provides the lowest concentration minimum reporting level (LCMRL), precision, and accuracy values required by EPA 545. Our investigations of ANA and CYN used an Agilent 1290 Infinity Binary LC coupled to the Agilent 6460 Triple Quadrupole LC/MS configured with Agilent Jet Stream technology to increase sensitivity. An Agilent Polaris C18-Ether LC column provided an alternative selectivity to Polaris C18 phases and delivered increased retention of polar compounds.

This setup produced the MRM chromatogram shown in Figure 1, which shows complete resolution of the two cyanotoxins, as well as the internal standards.

Two sets of replicates were run for both cyanotoxins, at 0.010 and 0.020 µg/L, using a calibration curve from 0.005 to 0.050 µg/L. Nine fortification levels were then calculated to determine LCMRLs for both compounds. In Figure 2 we show results for the LCMRLs, which, at 0.018 µg/mL for ANA and 0.038 µg/mL for CYN were equal to or lower than those required in EPA Method 545 (0.018 µg/mL for ANA and 0.063 µg/mL for CYN).

Precision sample testing that meets EPA Method 545

EPA 545 requires seven replicates of laboratory field blanks and chlorinated tap water. Representative samples were spiked at 0.1 µg/L, with preservatives. Recovery (accuracy) and precision were calculated for each set of samples (see Table 1). Calculated values fell well under the ± 30% recovery and 20% RSD limits set by the method for these parameters, in both reagent and tap water.

Replicate no.

Reagent water

Tap water

ANA recovery (µg/L)

CYN recovery (µg/L)

ANA recovery (µg/L)

CYN recovery (µg/L)

1

0.115

0.108

0.089

0.104

2

0.100

0.097

0.083

0.106

3

0.096

0.097

0.086

0.107

4

0.092

0.106

0.090

0.110

5

0.087

0.100

0.097

0.105

6

0.096

0.096

0.086

0.115

7

0.087

0.102

0.099

0.094

% Accuracy

96.1

100.9

90.0

105.9

% RSD

10.0

4.7

6.6

6.1

Table 1. Accuracy and precision for ANA and CYN analyses at 0.1 µ CYN analyses at 0.1 µcal configuration provided LCRMLs that met or exceeded the requirements of EPA Method 545. In addition, recoveries and precision were well within EPA Method 545 requirements. Only 20-µL injections were required to satisfy the method sensitivity requirements, which reduces maintenance requirements for the MS source. You will find the full details of cyanotoxin analyses by LC/MS/MS in Agilent publications 5991-4725EN and 5991-4444EN.

Fast, dependable water testing with Agilent

Cyanotoxins are just one of many potential contaminants in water that require advanced analytical techniques for their detection and quantification. Whether you're checking for volatiles, semi-volatiles, pesticides, inorganic or elemental contaminants, Agilent offers the equipment, products, tools, kits, software and services you need for fast, dependable sample testing. Take a moment to look at the Agilent solutions and productivity tools your lab needs to confidently measure chemical contaminants that threaten our water supply. You also may wish to download our new water quality applications brochure.

Figure 1.

MRM chromatogram of anatoxin-a (ANA) and cylindrospermopsin, as well as the two internal standards, on an Agilent LC/MS/MS.

Figure 2.

Lowest concentration minimum reporting levels (LCMRL) for ANA and CYN (0.018 and 0.038 µg/mL, respectively)