Skip to main content

Access Agilent eNewsletter, July 2013

Create a totally inert flow path with these gas and detector solutions for GC/MS

By Paul Tripp
Agilent Product Manager, GC/MS Supplies

Ensuring an inert GC flow path from injection through detection has never been more critical. As regulatory agencies continue to drive the limits of detection lower for increasingly active and more complex samples – especially food, environmental, and forensic samples – you cannot risk adsorption caused by flow path activity. Having to repeat or verify suspect analyses not only wastes valuable resources, it also hinders productivity and hurts your bottom line. With the pressure on sample viability and availability, you might not get that second chance because there is no viable sample left to analyze.

Fortunately, an inert GC flow path has never been easier to achieve thanks to Agilent Inert Flow Path Solutions (IFP). IFP solutions cover every component that touches the sample, giving you the confidence you need that your results are true to the sample, with nothing added and nothing taken away.

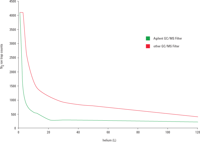
Enlarge

Figure 1. Fast-stabilization rate (N2 mass measured by mass spectrometry) of a GC/MS after replacement of the filter.

Carrier gas is an essential but sometimes overlooked contributor to flow path inertness. The Agilent Gas Clean filter system delivers clean gases, reducing the risk of column damage, loss of sensitivity, and instrument downtime. Located at the other end of the GC/MS is the last but equally as important flow path component – the MSD ion source. Here too, inertness is absolutely essential, which is why Agilent’s MSD ion source is treated with UltiMetal Plus proprietary deactivation.

Fast-stabilizing filters speed setup and minimize gas usage

Each GC/MS Gas Clean filter has a transparent and virtually unbreakable, heavy-walled polycarbonate housing that is packed with a fast-stabilizing absorbent (Figure 1) for lower gas consumption and faster setup time. The single filter unit uses a combination of filters to remove oxygen, moisture, and hydrocarbons from carrier gas for MS applications.

All GC applications benefit from the use of Agilent Gas Clean filters. Whether your GC is connected to a FID or MS – or to any other type of detector, such as flame photometric, thermal conductivity, electron capture, nitrogen-phosphorus, or thermionic – you’ll see cleaner gas, a lower consumption rate and faster stabilization rate.

New mounting bracket keeps the filter in sight for easy replacement

Another recently introduced innovation is a mounting bracket that can be installed directly on the back of the Agilent 7890A GC to support the Gas Clean filter. This new bracket raises the filter above the line of sight so you always have it in plain view. This means it’s now very easy to see when the indicator has changed color and the filter needs to be changed. The bracket also makes the filter more accessible, facilitating easy replacement. You can learn more about this new mounting bracket by reading the article featuring it in last month’s Access Agilent entitled, Integrated Gas Clean Carrier Kit for the Agilent 7890 GC Series makes accessing purifiers easy.

Figure 2. Electron impact (EI) ion source.

Inert MSD source provides unmatched sensitivity

The MSD Ion source (Figure 2) has also benefited from Agilent proprietary deactivation. Precision design, material selection, surface chemical deactivation with UltiMetal Plus, and rigorous testing ensure unmatched sensitivity when analytes reach the mass spectrometer. This truly inert MS source prevents contamination by high-boiling compounds and ensures long-lasting tune and calibration.

Complete the circle and ensure true inertness with Agilent Inert Flow Path solutions

Gas Clean filters with the new mounting bracket and inert MSD ion sources treated with UltiMetal Plus are just two of Agilent’s inert components that combine to give you a completely inert flow path. Take a moment to learn more about Agilent’s Inert Flow Path solutions and then put them to work in you lab.

Figure 1.

Fast-stabilization rate (N2 mass measured by mass spectrometry) of a GC/MS after replacement of the filter.